Fig. 1
From: Cost-utility analysis of an implant treatment in dentistry

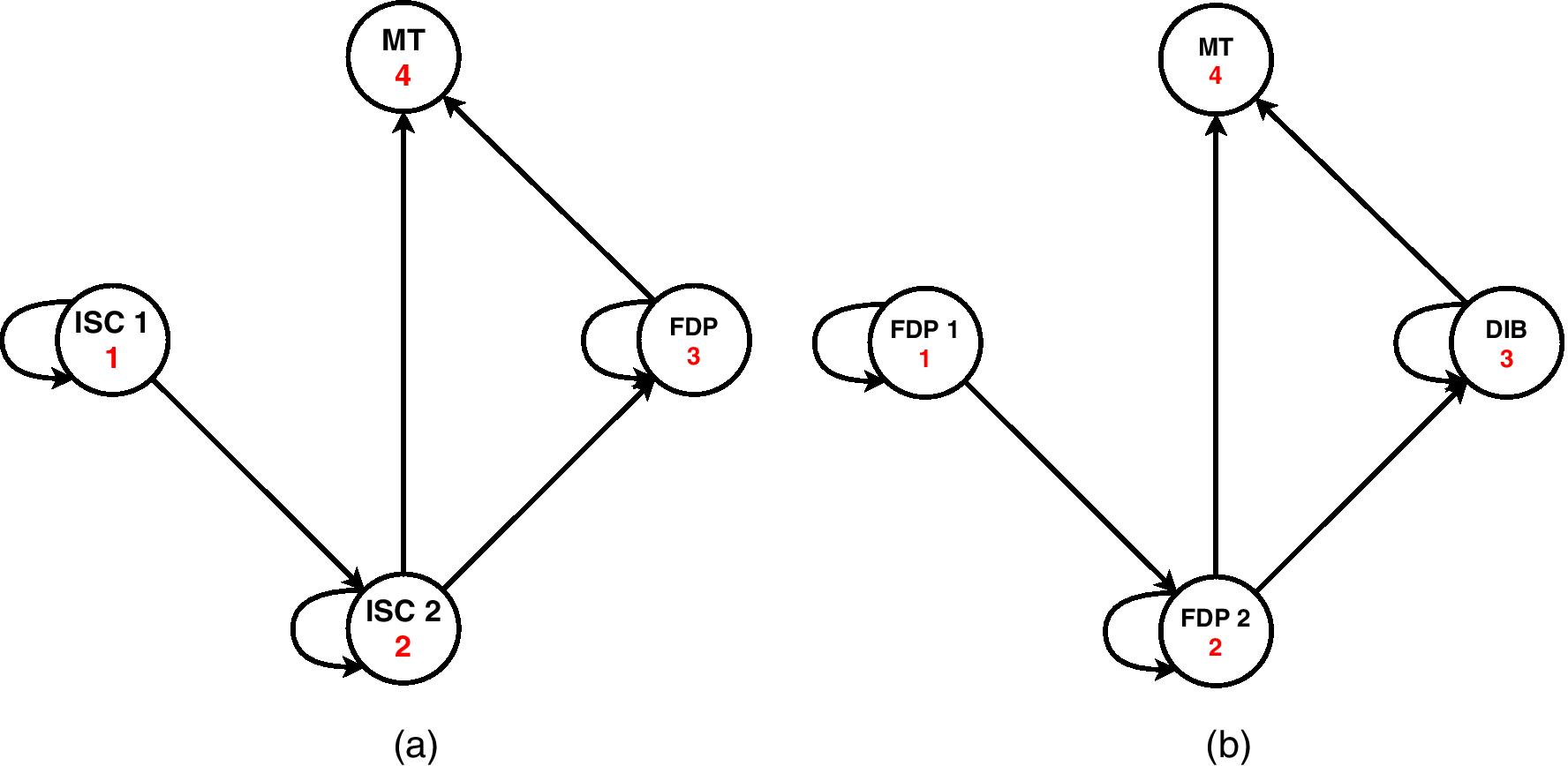
State diagram of the Markov model a implant-supported single crown (ISC), b three-unit fixed dental prosthesis (FDP). In each model, four health states are described with the possibilities of their transition. First implant-supported single crown (ISC 1), second implant-supported single crown (ISC 2), first three-unit fixed dental prosthesis (FDP; FDP 1), second three-unit fixed dental prosthesis (FDP 2), double implant-supported bridge (DIB), missing tooth (MT)