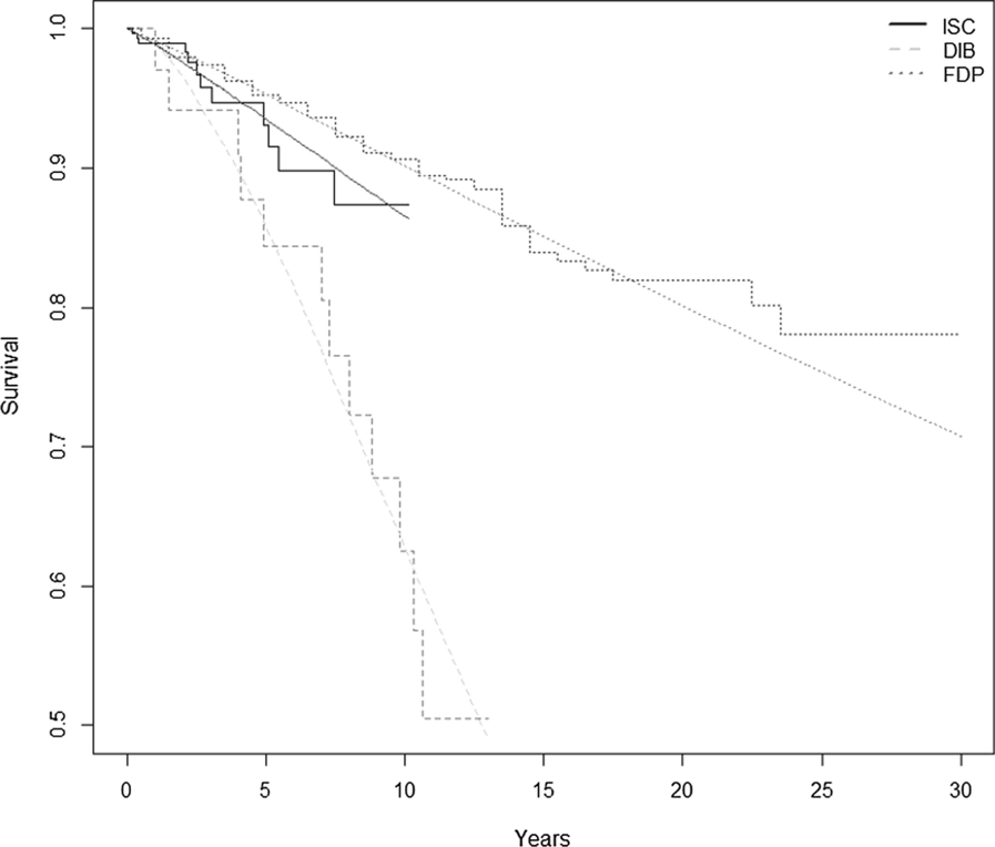
Fig. 2
From: Cost-utility analysis of an implant treatment in dentistry

Survival curves of individual interventions. Based on the log-likelihood ratio, the Weibull probability distribution was chosen for all curves. Implant-supported single crown (ISC), three-unit fixed dental prosthesis (FDP), double implant-supported bridge (DIB)